Nuisances sonores RD820
Arrêté Préfectoral n°82_2018_12_21_001 du 21/12/2018 téléchargeable ci-dessous
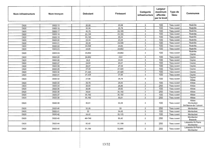
Tableau ci-dessous suivant Arrêté Préfectoral n° 2014 212-0005 du 31 juillet 2014 téléchargeable ci-dessous
Notice CEREMA sur cartes de bruit routier téléchargeable ci-dessous
Exemple PBE_Grand_Montauban à télécharger
Visiblement, le découpage des tronçons de la RD820 dans Albias et leur caractérisation suivant catégories 2 et 3, et donc distance d'influence du bruit routier à 250 m ou 100m suivant la catégorie, n'est pas très explicite avec la réalité du tissu urbain et celà mériterait des explications plus détaillées.
Le tronçon entre le carrefour à feux tricolores du secteur Albergnet et le rond point d'entrée d'Albias (route de Montels) est une longue ligne droite en partie en zone urbaine et est une source d'accélération de la circulation dans le sens vers Montauban et de vitesses excessives. La nature des enrobés joue certainement également sur le niveau de bruit du roulement de la circulation.

